Post provided by MARK REES and Steve Ellner
The Early Days: Illyrian Thistle and IBMs

Back in 1997 MR was awarded a travel grant from CSIRO to visit Andy Sheppard in Canberra. CSIRO had been collecting detailed long-term demographic data on several plant species and Andy was keen to develop data-driven models for management.
Andy decided Illyrian thistle (Onopordum Illyricum) would be a good place to start, as this was the most complicated in terms of its demography. The field study provided information on size, age and seed production. The initial goal was to quantify the impact of seed feeders on plant abundance, but after a few weeks of data analysis it became apparent that the annual seed production per quadrat was huge (in the 1000s) but there were always ~20 or so recruits. This meant that effects of seed feeders (if any) occurred outside the range of the data, which wasn’t ideal for quantitative prediction.
So the project developed in a different direction. Onopordum is a monocarpic perennial (it lives for several years then flowers and dies) and Tom de Jong and Peter Klinkhamer had recently developed models to predict at what size or age monocarps should flower, so it seemed reasonable to see if this would work.
Initial models based on a von Bertalanffy equation for the relationship between size and age performed very poorly, because plant growth was strongly size-dependent, not age-dependent, and highly variable between individuals – it’s strongly dependent on the local environment. With Marc Mangel we then developed dynamic state-variable models (which account for the variable growth between individuals) but the predicted size at flowering was too large.
Finally we developed individual-based models (IBMs), which incorporated all the gory details – size and age-dependent demography, temporal variation in the environment, density dependent recruitment, and permanent between-individual variation in demography. To this complex simulation model we added a genetic algorithm (new individuals inherit their parents parameters plus a small random deviation), which allowed evolution in the parameters of the probability of flowering function (a logistic regression against size and age).
MR can clearly remember watching the mean flowering intercepts scrolling up the computer screen and converging on a value of about -24. This number was familiar: the estimated value was -23.7, and the model was evolving to precisely the value observed in the field. Considering the 100s of lines of code (this was all done in Pascal) this was pretty unexpected. We did lots of simulation experiments to try and understand the effects of temporal variation on the evolutionary dynamics.

Next we developed similar models for Carlina vulgaris using a 16-year dataset collected by Peter Grubb and again the models made very accurate predictions of what the plants actually did in the field. The fitness landscape (Fig. 7 in our article, redrawn above) as a function of the logistic regression slope and intercept took over a month to compute using the IBMs.
Bringing in the Integral Projection Models

IBMs are very general, but running endless simulations is ultimately not terribly satisfying. Plus, being slow to run you can never really explore them thoroughly. At round this time SPE had been working with colleagues to develop Integral Projection Models (IPMs), and much to MR’s surprise these were based on exactly the same regression models as the IBMs he was using. So the IBMs could be converted directly to IPMs, and analysed using a much larger toolbox of numerical methods.
The key feature of the IPMs, like the IBMs, is that individuals were cross-classified by their state (e.g., size) and by parameters that specify the “rules of the game” for that individual (in this case, how flowering probability depends on size and age). The parameters are effectively the individual’s genotype. Again the goal was to predict the parameters that would be favoured by evolution.
Because of the way density dependence acted in the models it was straightforward to calculate the Evolutionarily Stable Strategy (ESS), which we did. The fitness landscapes now took just a few hours to calculate and we could also quickly calculate selection pressures (sensitivities) on the various model parameters. With students and postdocs we then developed a suite of IPMs dealing with seedbanks, time lags, seed herbivores, age-structure, temporal stochasticity, clonal growth, and spatial spread in addition to theoretical papers dealing with complex demography and stochastic environments (and we have another stochastic environment IPM article here).
Using IPMs to Understand Evolution
In our paper in the Demography Beyond the Population Special Feature we look in more depth at when and how IPMs can be used to understand evolving systems. To know if our ideas (and the ones we borrowed from others) actually work we need to know the truth that we’re trying to tease out from data, so our approach was to generate stochastic evolutionary trajectories using an IBM, and then try to understand them using various IPM tools.
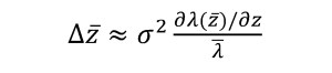
First, we asked if various tools developed assuming there is little or no genetic variation actually work in a more realistic setting with high trait variation and rapid evolution. For example, Iwasa et al. (1991) developed approximations for trait dynamics, assuming small genetic variance so fitness doesn’t change much (or equivalently selection is weak). The change in the mean trait from time t to t+1 depends on the genetic variance times the sensitivity of to the parameter, z, hence

but does this work in a realistic ecological model with substantial genetic variability? Is it reasonable to calculate eigenvalue sensitivities to regression parameters and interpret them as selection pressures?
Given the breadth of assumptions used to derive the equation above our guess was no – it might be roughly right but no better – and others thought this too. But you don’t know until you do the work and, remarkably, for the systems we looked at the equation is really, really good!
The news is not all good, however, because we haven’t told you where the genetic variance σ2 comes from – predicting how it changes over time turns out to be much harder than predicting the mean. Again though, very simple approximations are not so bad as you might expect.
Nonetheless, the surprising success of the equation above validates the idea that eigenvalue sensitivities determine the direction and relative strength of selection on different components of the life history. Now, can we understand what determines their values?
Decomposing Selection Gradients

In Evolving integral projection models we suggest that it’s useful to decompose the selection gradient into components in various ways. One way is to express it as the sum of components determined by how average survival changes with the trait, and how average production of new recruits (fecundity) changes with the trait. As evolution proceeds, the relative importance of these factors changes, but at an evolutionary equilibrium they must be equal and opposite: selection on survival and fecundity must be equally strong.

The same conclusion applies to a less familiar way of decomposing selection into two components. The first component is selection resulting from changes in demography in the context of current population structure. This is what most people would classically think of as selection, e.g. selection for larger size because larger size brings higher survival. The second is changes in population structure in the context of the current demography: if survival becomes higher, there are more large individuals. This decomposition is just a high-dimensional version of the product rule from calculus, but it has very interesting consequences when we add the observation that at evolutionary equilibrium, the two components must be equal and opposite.
Trait Stasis in the Face of Directional Natural Selection
What happens if you do a classical analysis of body size evolution and look at how size affects individual fitness? In fact this has often been done. The ‘equal and opposite’ rule says that we should observe selection on body size, even at an evolutionary equilibrium where (say) mean body size of adults is not changing from generation to generation. In fact, it is only at evolutionary equilibrium where we can make this strong prediction. And indeed, this has often been observed, but viewed as a puzzle: why is there trait stasis in the face of directional selection?
A possible answer proposed in our Special Feature paper, is that the directional selection mediated through demography (growth rate during development) is balanced by opposing selection mediated through population structure, which the classical analysis does not account for.
Working with more Complex Genetics
One significant limitation to our new paper is that we keep the genetics simple: Mendelian, and for the most part haploid. Another paper in the Demography Beyond the Population Special Feature tackles the more complicated case of quantitative traits in a sex and age-structured population.
Again the underpinning idea is the same, so one of the parameters of the IPM is under genetic control. But now this follows the usual conventions of quantitative genetics and is composed of a breeding value and permanent environmental effect. The infinitesimal model of inheritance is then used to construct the distribution of breeding values in the offspring.
In our paper we also cover a few other things such as efficient ways of finding ESSs and the evolution of function-valued traits, where the entire function can evolve – so we no longer assume the relationship is, say, logistic and look for the best parameters but let the function itself evolve. But if you want to know about that you’re going to have to read the paper!
To find out more about Integral Projection Models, read Evolving integral projection models: evolutionary demography meets eco-evolutionary dynamics.
This article is part of the British Ecological Society’s Cross Journal Special Feature,Demography Beyond the Population. All articles in the Special Feature are freely available for a limited time.
One thought on “How Did We Get Here From There? A Brief History of Evolving Integral Projection Models”