Post provided by THEONI PHOTOPOULOU, MIKE FEDAK, LEN THOMAS and JASON MATTHIOPOULOS
Animal Telemetry for Air-breathing Divers

Nowadays animal telemetry tags for air-breathing divers come in all shapes and sizes. In four short decades tags for diving animals have gone from prototypes like the one built by Jerry Kooyman for deployment on Weddell seals – which consisted of a kitchen timer and a roll of graph paper – to a multitude of sophisticated electronic devices, fit for just about any animal or purpose you can think of.
All this progress has meant we can collect more information than ever before and do so remotely. Nevertheless, the lives of most divers remain a well-kept secret. For tags that transmit what they collect (as opposed to those that store data until they’re retrieved), the transmission stage is usually the bottleneck. This has driven the development of energy and time efficient software and data processing.
For a tag like the conductivity-temperature-depth Satellite Relay Data Logger (CTD-SRDL) built by the Sea Mammal Research Unit Instrumentation Group at the University of St Andrews – which was designed to spend months at sea – the problem boils down to one thing. Data are collected at a high resolution on-board the tag amounting to 100kB daily, but only 1kB of this information (at best) can be transmitted to the ground station. Therefore in preparation for transmission, the data need to be chosen carefully, compacted and fitted into several satellite messages of fixed size to ensure that enough useful information is received. Each satellite message can hold up to 248bits of information. To give an idea of how limiting this is, consider that this sentence would (without compaction) take up 896bits!
Elephant Seals: Deep and Distant Divers
These challenges are closely linked to the behaviour and habitat of the marine animals carrying the tags. Many live in extreme and remote places and range widely. For one animal in particular, the elephant seal, these extremes are especially pronounced.
Southern elephant seals breed colonially and travel thousands of miles from their pupping sites with few navigational queues, to gather resources in the open ocean, ice edge and on the continental shelf near the Antarctic continent. They also make a habit of diving to incredible depths, foraging down to 2000m below the surface. To add to that, they spend very little time at the surface, usually 3 minutes or less between dives that can last over an hour.

Basic but Burning Questions
With this dramatic separation of foraging at sea and breeding on land, thousands of miles from their preferred foraging grounds, elephant seals have captured biologists’ and natural historians’ imagination. Where do they go? What is it like there? How do they find their way? What are they doing while they are at sea? These questions have driven the software and hardware design and the manufacture of CTD-SRDLs. These are basic biological questions, but they’re difficult to answer – even with purpose-build telemetry tags.
The challenge has been to collect data over the whole multi-month migration in as much detail as possible without depleting the tag’s battery before the seal returns to the beach to breed. This requires a special kind of tag that can deal with the critical – in terms of energy efficiency – trade-off between how much data is collected and how much is transmitted and do so flexibly to accommodate each study’s research priorities.
Key Limitations: Surfacing, Bandwidth and Battery
There are three key limitations to the amount of data we receive from telemetry tags when we cannot physically recover them and want them to operate for as long as possible:
- The infrequent surfacing behaviour of the animals (because the tag needs to be in air to communicate with the satellite)
- The bandwidth of the communication system used to relay the data (because you can only send small parcels of information at a time)
- The finite energy supply of the battery (because more transmissions use more battery power)

Essentially, the problem we are faced with is that we can either end up with a lot of information over a short period of time, or less information over a longer period. However, the tag can collect more information than it can send. If you collect too much information you’ll never get a chance to send it back (because the seal won’t be at the surface often enough).
The point is to send the right kind of information. This prompts the need for on-board data abstraction and analysis: to simplify the data and reduce the space it takes up in electronic memory. If you can compress your data cleverly, then you can send small but relevant parcels of information and have the tag last for the whole eight months that elephant seals are at sea, from when they moult to when they come back to breed.
The Broken-Stick Model: A Clever Solution
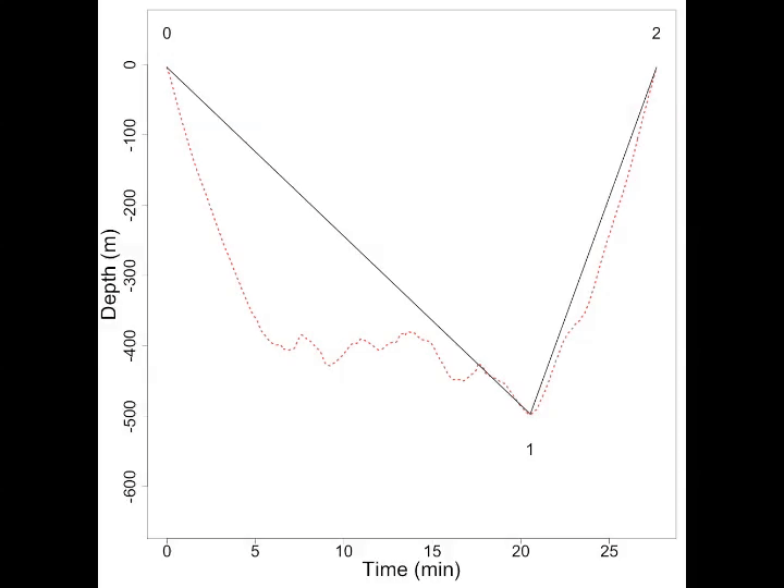
The master plan for making it all work was the result of a close collaboration between biologists and software engineers, recently outlined in a review paper. A question that caused a great deal of head-scratching was how to represent dives and transmit their associated data, minimising bandwidth. CTD-SRDLs record depth information every 1-4 seconds but if they sent it all back we would only get information about a handful of dives. How can you reduce time-depth dive data to a small number of points without losing any of the important biological content? There are many ways you can do this without constraints, but a solution that is well-suited to SRDLs is something called the ‘broken-stick model’.
This method is extremely efficient in both bandwidth and computational requirements. It’s fast, runs on fumes in terms of energy consumption, produces a very small parcel of information (you can fit three broken-stick dives into one satellite message), and picks the most important inflections in the trajectory of each dive. All dives processed by the broken-stick model, irrespective of depth or duration, are represented with six points: four at depth and two at the surface, at the beginning and end of the dive.
This is how it works for seal dives:
As impressive as this is, it seems a shame to come away with only six points for an hour-long dive. It turns out, we can do even better.
Because we know how the algorithm works, we can reverse-engineer it. While we can’t get back to the detailed time-depth profile of a dive, we can get upper and lower depth limits to it, which we are 100% sure are correct. We call this envelope the ‘dive zone’.
Taking a step further, we can get a measure of how well the model does at representing wiggly dive paths with lines. We did this by coming up with a relative index of the ‘size’ of the area inside the dive zone, which we call the ‘dive zone index’.
Not All Dives are Created Equal
Since we have been collecting dive data as time-depth trajectories using these tags, researchers have started looking at whether similarly-shaped groups of dives might serve the same biological function. There has been a lot of debate on whether this is a useful thing to do with such sparse data, but it’s a simple and intuitive classification.
One of the first studies of dive types for elephant seals derived six classes of dive. We used the types described in that paper and looked at whether some dive types are regularly represented by the broken stick model better than others. We found that drift-type dives, where seals dive down to a certain depth and then seemingly drift without swimming actively, are usually the best represented of the six dive classes. They have a smaller dive zone index than other dive types thanks to their long straight segments and well defined transitions between segments.
Being able to assign a measure of uncertainty to abstracted profiles has given us a way to judge how much we can trust them, in other words how faithful they are to the original dive profiles. We can now incorporate this uncertainty into analyses of CTD-SRDL dive data. An exciting prospect resulting from this work is that it provides a window into the diving process that underlies what we observe with telemetry tags. Using the idea of the dive zone we may be able to learn more about air-breathing divers in general by constructing process-driven models for their diving behaviour.
To find out more about the broken-stick model, read our Methods in Ecology and Evolution article ‘Efficient abstracting of dive profiles using a broken-stick model’.

