Post provided by GBADAMASSI DOSSA
Anthropocene and Climate Change at Glance
As a consequence of human activities the global climate is changing at a rate that is unprecedented in at least the past few centuries, leading to the suggestion that this era should be referred to as the “Anthropocene”. While climate hind-casting and pollen histories in sediments are advancing our understanding of how past ecological ecosystems responded to previous climate changes, forecasting power really depends on how accurately we can predict ecosystem functions that are likely to change in the future.
Despite substantial recent advances in our ability to predict climate change, considerable uncertainty remains – especially in our understanding of how ecosystem functioning could be influenced by climate change and how this may feed back to affect greenhouse-gas fluxes. The decomposition of organic matter in leaf litter and soils accounts for a global flux that is approximately 7 times as large as global anthropogenic emissions. Understanding how climate change will affect carbon held in dead organic matter pools – including leaf litter, woody debris and soil organic carbon – is essential.
Decomposition and Why it Matters

Decomposition is defined as the “physical, chemical and biological mechanisms that transform organic matter into increasingly stable forms” in plant detritus. However, only small part of carbon goes through this process. Most of dead organic matter becomes CO2. Decomposition of organic matter is important because of its link to the global carbon cycle. Simply stated, the carbon cycle consists of carbon inputs via photosynthesis and outputs via respiration. However, while photosynthesis is relatively well studied and understood, respiration – including that of living organisms (autotrophy) and of dead ones (heterotrophy) – is understudied. As a consequence, our understanding of decomposition is much less sophisticated. A substantial amount of greenhouse-gas (CO2, CH4, N2O) production occurs either directly or indirectly from organic matter decomposition, including woody debris. Similar amounts of CO2 efflux exist between fluxes from woody debris decomposition (8.6 Pg yr-1) and fossil fuel burning (9.6 Pg yr-1). So we desperately need a reliable technique to quantify CO2 from decomposition.
Techniques for measuring CO2 production
The use of CO2 measurement to study decomposition goes back to the 1960s. Back then, chemical absorbent or trapper was used to sequestrate CO2 produced by a known amount of organic matter during a given period of time. Gas chromatography was being used to measure CO2 by the 1980s. Although these techniques were restricted to the lab, researchers tried CO2 trapping in the field as well. Advances in technology and the desire to cover larger spatial scales led researchers to develop more robust methods to get around the drawbacks of earlier measurements.
A large advance was based on infrared absorption. CO2 absorption of infrared leads to its greenhouse effect and makes CO2 important for climate change. Fortunately, infrared absorption also allows us to measure it with Non-Dispersive Infrared Gas analysers (NDIR, also known as Infrared Gas Analysers or IRGA).

The first advantage of using NDIR is that it allows rapid measurements that could enable long-term process estimation (e.g. wood decomposition). Another key advantage is that NDIR helps to increase in replication and deployment in remote sites, especially in environments that have been poorly covered in carbon cycle research (for example the tropics). NDIR devices are becoming increasingly affordable and accurate thanks to technological advances, increasing the possibilities for more widespread monitoring and even crowd sourcing. Prices range from few hundred US$ to few thousand (e.g., Licor, PP systems etc.). Finally, these devices enable the use of non destructive methods.
Learning form Soil Biologists
Using NDIRs requires the development of physical set-ups for the widest possible variety of decomposing materials, including leaf litter, dead wood etc. But learning from soil biologists who first used comparable techniques for measuring soil respiration could help. There are several ways of using NDIRs, including direct air sampling or linking them to different types of chambers.
Open or semi-open systems, such as those used to measure soil surface fluxes, suffer from assumptions concerning the rate of diffusion of CO2 through a substrate. This can substantially alter the estimated rates of decomposition. These problems do not exist with a closed system – although the substrate under study must fit into the chamber. This makes them especially useful for studying the decomposition of specific substrates, such as leaf litter, the respiration of living ants nesting on woody debris and woody debris.
NDIRs are simple to use and have become more and more popular in these types of study. They measure CO2 concentrations accurately (provided they have been appropriately calibrated which is done at the factory or to manufacture’s specifications), but researchers still need to convert measured CO2 concentrations into CO2 efflux, which is usually specified on a unit mass basis.
Avoiding Mistakes or Errors in Calculating CO2: Get the Maths Right
When we recently reviewed studies employing a NDIR linked to a closed chamber we found that most of them (80%) did not clearly state the formulae or parameter measurements for deriving CO2 efflux from measured CO2 concentrations. Of those that did 75% made basic errors in the calculation. Clearly, if the benefits of NDIRs are to be realised researchers need to make correct use of the measured CO2 concentrations. Incorporating poor quality inputs in earth system models could significantly delay our understanding of carbon cycles feedbacks.

Even though these findings cast doubt on previous studies, the good news is that such mistakes are avoidable. We hope that the recommendations in our article will improve the reliability of data concerning decomposition of woody debris and other litter and ultimately lead to an enhanced understanding of how this process will affect and be affected by climate change.
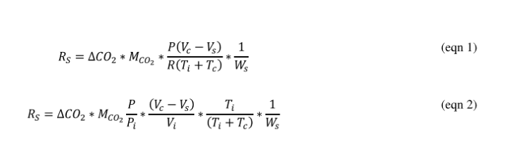
Measurements of CO2 concentration are a means to the end – not an end in themselves. As researchers, we still need to get the maths right. Assuming that the measurement of CO2 is correct; we still need to convert our measurement data into CO2 efflux rates. This involves derivation from the ideal gas law (PV=nRT, details in Dossa et al. 2015) to respiration rate of substrate (Rs) given the knowledge of the volume of the chamber (Vc), the volume of the substrate (Vs) (i.e. the wood or leaves under measurement), and the ambient temperature (Tc) and pressure (P). Avoiding basic mistakes requires the understanding, correct use and inclusion of variables in the following equations (eqn 1 or 2).
Where:
RS = respiration rate (µg CO2 g-1 (dry weight of organic substrate) s-1);
ΔCO2 = the slope of CO2 concentration measurement increase (ppm s-1);
R = universal gas constant (8.314 J K-1 mol-1);
MCO2 = molar mass of CO2 (44.01g mol-1);
Pi = air pressure at standard conditions (101.325 kPa);
P = air pressure at measurement time or ambient pressure (kPa);
Vc = chamber volume (L);
Vs = organic substrate volume (L);
Vi = molar volume (22.41L);
Ti = conversion factor from degree Celsius to Kelvin, 273.15 K;
Tc = chamber’s air temperature; and
Ws = organic substrate sample dry weight.
It is crucial that researchers realise the real attribute of each variable and use correct values in these equations. Tc is the temperature of the measured gas (here CO2) not the analyser’s temperature. Also, it is important to measure the ambient pressure (unless the analyser provides it). Calculating slopes of CO2 concentration can be tedious because of the large amount of measurement files from the gas analyzers. However, there’s a handy R script to easily get the slope or the increase rate of CO2 (ΔCO2) during measurement.
Policy Makers and Earth-system Modelers Need Accurate Information
Policy makers and modellers need accurate information and guidance from researchers to make evidence-based decisions. The understanding of greenhouse gas fluxes is currently a critically important topic for climate change studies. By enabling long-term process prediction from short-term measurements, increasing replication and deployment, NDIRs can improve our understanding of respiration of organic substrates and help us to learn more about the potential effects of climate change.
To find out more about calculating CO2 Efflux, read our Methods in Ecology and Evolution article ‘Correct calculation of CO2 efflux using a closed-chamber linked to a non-dispersive infrared gas analyzer’.
